Швейцарский астроном Фриц Цвикки в начале 1930-х годов заметил, что галактики в скоплениях движутся слишком быстро для той массы, которую можно наблюдать. Он предположил существование невидимого каркаса — темной материи, удерживающей галактики от распада. С тех пор ученые могли наблюдать темную материю только косвенно, через ее гравитационное влияние на обычное вещество. Темная материя не взаимодействует с электромагнитными силами, поэтому не поглощает, не отражает и не испускает свет.
Астрономы считают, что телескоп Fermi впервые видит темную материю

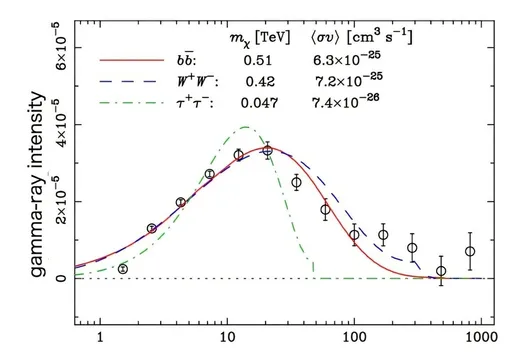
Многие исследователи полагают, что темная материя состоит из слабо взаимодействующих массивных частиц — вимпов, которые тяжелее протонов, но почти не взаимодействуют с видимым веществом. Теория предсказывает: когда два вимпа сталкиваются, они аннигилируют, высвобождая фотоны гамма-излучения. Годами астрономы искали эти специфические гамма-лучи в областях концентрации темной материи.
Аннигиляцию вимпов удалось увидеть
Используя новейшие данные космического телескопа Fermi, Тотани обнаружил гамма-излучение, распространяющееся в форме гало к центру Млечного Пути. Наблюдаемый энергетический спектр совпадает с излучением от аннигиляции гипотетических вимпов массой примерно в 500 раз больше протона. Частота аннигиляции, оцененная по интенсивности гамма-излучения, попадает в диапазон теоретических предсказаний. Исследование опубликовано в Journal of Cosmology and Astroparticle Physics.
«Если это верно, это будет означать, что человечество впервые 'увидело' темную материю. И оказывается, что темная материя — это новая частица, не включенная в современную стандартную модель физики элементарных частиц. Это означает крупное достижение в астрономии и физике», — сказал Тотани.
Важно и то, что эти гамма-измерения трудно объяснить другими, более распространенными астрономическими явлениями. Но результаты должны быть проверены независимым анализом других исследователей. Обнаружение гамма-излучения той же энергии от карликовых галактик, которых много в гало Млечного Пути, подкрепило бы анализ Тотани.


